Operaciones combinadas con potencias y raíces de fracciones
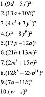
Miramos detenidamente los vídeos, nos detenemos y hasta retrocedemos, en caso de no entender algo y después de haber comprendido o eliminado la duda, recién avanzar. No olvides escribir el o los ejercicios que se proponen en los vídeos en tu cuaderno, e ir resolviendo junto con el profesor. Ahora resuelve: Podés mandar tus resultados a luciasigrist@hotmail.com o ponerlos en comentarios y te los respondo.





Comentarios
Publicar un comentario